Tempo estimado de leitura: 5 minutos
📌 Destaques do Artigo
- O Valuation define o valor justo de um negócio para venda ou captação.
- O Fluxo de Caixa Descontado é o método mais aceito por investidores.
- A contabilidade organizada é o fator que mais eleva o valor final.
O que é Valuation? Em termos simples, é o processo de estimar o valor real de uma empresa de forma técnica e fundamentada. Portanto, ele vai muito além do simples saldo em conta ou patrimônio físico. Além disso, essa análise busca projetar o quanto de riqueza o negócio pode gerar no futuro. Nesse sentido, dominar essa ferramenta é essencial para atrair sócios ou planejar uma sucessão.
Conceito de Valuation e para que serve
Na Gestão Empresarial moderna, o valor é medido pela capacidade de geração de caixa. Contudo, o Valuation não serve apenas para quem deseja vender o negócio. Pelo contrário, ele é fundamental para fusões, processos de herança ou até para calcular a entrada de um novo investidor. Dessa forma, o cálculo fornece uma base sólida para negociações justas.
De acordo com a Lei das Sociedades por Ações (Lei nº 6.404/76), a avaliação de ativos para fins de incorporação ou cisão deve seguir critérios rigorosos. Veja o detalhamento na Lei das S.A. aqui. Assim, o auditor garante que os critérios contábeis respeitem as normas de fidedignidade exigidas pela CVM.
Método 1: Fluxo de Caixa Descontado (FCD)
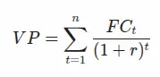
Este é considerado o “padrão ouro” das avaliações. Em suma, o FCD projeta o fluxo de caixa livre da empresa para os próximos anos e traz esse valor para o presente. Para isso, utiliza-se uma taxa de desconto que reflete o risco do negócio. Portanto, se o risco é alto, o valor da empresa tende a ser menor.
A fórmula básica do FCD envolve o cálculo do valor presente (VP):

O que compõe a fórmula:
- VP (Valor Presente): É o valor que você deseja encontrar hoje (o Valuation da empresa ou projeto).
- FC(t) (Fluxo de Caixa): O valor do caixa gerado em um período específico (t).
- r (Taxa de Desconto): Geralmente representada pelo WACC (Weighted Average Cost of Capital), reflete o custo de capital e o risco do negócio.
- t (Período): O momento no tempo (ano 1, ano 2, etc.).
- n (Horizonte de Tempo): O número total de períodos projetados.
Consequentemente, este método valoriza o potencial de crescimento futuro em vez do passado.
Método 2: Múltiplos de Mercado
Diferente do FCD, este método é comparativo. Ele analisa empresas similares do mesmo setor que foram vendidas recentemente. Além disso, utiliza indicadores como o EBITDA (Lucro antes de juros, impostos, depreciação e amortização). Por exemplo, se o mercado paga 5 vezes o EBITDA para o seu setor, esse múltiplo servirá de base para o seu cálculo.
Método 3: Valor Patrimonial
Este é o método mais conservador e foca no Balanço Patrimonial. Basicamente, soma-se todos os ativos e subtrai-se os passivos. Contudo, ele raramente reflete o valor real de mercado, pois ignora ativos intangíveis como marca e carteira de clientes. Portanto, ele costuma ser usado em casos de liquidação ou empresas de infraestrutura pesada.
| Método | Foco Principal | Indicado para |
|---|---|---|
| FCD | Futuro (Geração de Caixa). | Startups e empresas em crescimento. |
| Múltiplos | Mercado (Comparação). | Empresas de setores consolidados. |
| Patrimonial | Passado (Ativos Físicos). | Indústrias pesadas ou encerramentos. |
A importância da contabilidade organizada para o Valuation
Você pode ter o melhor produto, mas se o seu financeiro for confuso, o Valuation será baixo. Primeiramente, o investidor busca segurança jurídica e fiscal. Além disso, demonstrações financeiras auditadas reduzem a percepção de risco. Consequentemente, uma contabilidade impecável permite aplicar taxas de desconto menores, elevando diretamente o preço de venda da empresa.
FAQ: Perguntas Frequentes
Geralmente, entre 15 a 45 dias, dependendo da organização dos dados contábeis e da complexidade do setor.
É o valor intangível, como reputação e marca, que faz a empresa valer mais do que a soma de seus ativos físicos.
Geralmente utiliza-se uma combinação de Múltiplos com Valor Patrimonial Ajustado para simplificar o processo.
Conclusão
Em resumo, entender o que é Valuation é o primeiro passo para profissionalizar sua gestão financeira. Saber quanto vale o seu esforço permite negociar com autoridade e traçar metas de crescimento realistas. Portanto, não espere o momento da venda para avaliar seu negócio. Comece hoje a organizar seus números e maximize o valor do seu patrimônio.

Deixe um comentário